白酒中98%—99%的成分是乙醇和水,它們構成了白酒的主干,其它1%—2%的成分主要由微量的有機酸、酯、雜醇、醛、酮、含硫化合物、含氮化合物以及極其微量的無機化合物(固形物)等組成,它們決定了白酒的香和味,構成了白酒的典型性和風格。而微量成分(或稱風味物質、香味成分)的種類及各微量成分在酒中的含量又與白酒生產所使用的原料、生產工藝及貯存老熟過程密切相關。新蒸餾出的酒的口感具有辣、沖、澀、香暴、糟糠及新酒臭等,但經過一段時期的老熟陳釀后,酒的燥辣刺激感減小,酒體柔和,香氣協調,口味醇厚,余味悠長,這正是因為白酒在貯存過程中發生了復雜的物理化學變化,改變了白酒中微量成分的組成和比例,從而提高了白酒的口感質量,保證了酒體的穩定性。
一、白酒中微量成分的分類
白酒中微量成分的種類十分復雜和繁多,在我國三大主要香型白酒中,醬香型酒中有963個色譜峰,可定性的有873個;濃香型酒中有674個色譜峰,可定性的有342個;清香型酒中有484個色譜峰,可定性的有178個。其中,濃香型酒的342種可定性的微量成分中,酯類最多有99種,羰基化合物57種,酸類55種,含氮化合物38種,醇類36種,酚類27種,醚類14種,呋喃類化合物7種,含硫化合物6種,其它3種。但常規儀器檢測出的不過60多種。因此,白酒從化學的角度上來看,其實質是乙醇、水及幾百種微量成分的混合物。其中,乙醇和水占了98%左右,可稱作酒中的常量成分,而微量成分僅占了2%左右。對這2%左右微量成分的分類,有非常多的方法,主要有以下幾種:
1、根據這些微量成分是溶于水或溶于乙醇,可分成醇溶性微量成分和水溶性微量成分。
微量成分中大多數是醇溶性,而有些成分,如:乙酸乙酯、乳酸乙酯、丁酸乙酯等酯類,異丁醇、異戊醇、正丙醇、正丁醇等醇類,乙醛、乙縮醛、雙乙酰等醛酮類及各種酸類,均既溶于乙醇,又易溶或微溶于水。而己酸乙酯和高級脂肪酸酯(包括硬脂酸乙酯、軟脂酸乙酯、棕櫚酸乙酯)則不溶于水,只溶于乙醇。其在酒中的溶解度,隨酒度和溫度的降低而有較大的下降,故會影響酒質及穩定性。
而酒中乙醇和水所占的比例不同時,又會存在了一個溶質和溶劑的問題:當乙醇的含量大于水的含量時,即酒度較高時,乙醇為溶劑,水為溶質,醇溶性的微量成分對酒口感和香氣的影響占優勢;而當水的含量大于乙醇的含量時,也即酒度較低時,水變成了溶劑,乙醇變成了溶質,則水溶性的微量成分對酒口感的影響又占了優勢。
2、根據微量成分所包含的官能團不同,可將酒中微量成分分為10大類,見表1:
表1 白酒微量成分分類表
它們的呈香呈味功能強弱順序大致如下:
醇基(-OH)>酮基(-CO-)>羧基(-COOH)>酯基(-COOR)>苯基(C6H5—)>氨基(—NH2)
3、按照微量成分在白酒中的絕對含量可把它們分為骨架成分和復雜成分,如圖1:
圖1 白酒中各微量成分比例分布圖
骨架成分是指通過色譜分析含量大于1mg/100ml的成分,這些成分屬于白酒常規定量分析指標,它們構成了中國白酒的骨架,所以又叫色譜骨架成分。骨架成分占微量成分的99%—95%左右,一般有25種,以濃香型白酒為例,它們是乙酸乙酯、乳酸乙酯、己酸乙酯、丁酸乙酯、戊酸乙酯、甲酸乙酯、異戊醇、正丁醇、仲丁醇、異丁醇、正丙醇、仲戊醇、正戊醇、正己醇、乙醛、乙縮醛、糠醛、2,3丁二醇、乙酸、乳酸、己酸、丁酸、丙酸、戊酸、異戊酸等。
而復雜成分是指除骨架成分之外的所有色譜分析含量小于1mg/100ml的成分,雖然它們在微量成分中所點的比例僅為1%—5%,但它們對白酒的風格典型性卻起著關鍵性的作用。
4、按微量成分在白酒中的作用又可分為主體香成分、助香成分、定香成分、矯香成分、放香成分、前香和后香成分、特征成分、主體成分、調和成分、骨架成分等。
二、白灑中微量成分的來源
白酒中微量成分來源主要有三部分,一是來自于釀酒所采用的原料和輔料,二是來自于微生物對釀酒原料的分解和合成,三是來自于白酒在貯存過程中的物理和化學變化。
1、來自于原料和輔料中的微量成分:
白酒釀酒原料主要使用以下品種:高粱、大米、玉米、小麥、糯米、青稞、豌豆等,它們都具有各種獨特的香氣,含有多種易揮發的微量香氣成分。經測定,小麥的揮發性成分有醛、酮、醇、酯等30多種,大麥也有65種揮發性成分被檢測出。在稻谷及大米中分別檢測出了73種和170種揮發性成分。在高糧、米飯中檢出了甲醇、乙醇、乙醛、丁酮、乙酸乙酯、環戊酮等幾十種成分,而玉米的揮發成分有:乙醛、壬醛、甲醛等幾十種成分,對玉米種皮分析,檢測出了56種成分。而對米糠檢測分析發現含有的揮發成分在250種以上,其中170種物質已做出了鑒定。不同品種的玉米其含量又有較顯著的差別。這些結果說明了各種糧食其揮發性成分組成是不同的,并且不同品種、不同產地,新糧與陳糧之間也有很大的變化差異。
因此,糧食、酒曲、輔料的質量對白酒香氣的質量有很大的影響,采用糧食品種越多,從糧食中所帶入酒的微量成分種類也就越多,而新糧又較陳糧中微量香氣成分多。
為了防止生糧味、糠味等進入酒體,白酒生產采用蒸糧蒸糠的工藝,以排除這些雜味對酒體的影響。同時,在對糧食進行加熱的過程中,由于非酶香氣生成反應,會出現糧食的經受熱加工處理后的香氣,這是因為糧食中所含的氨基酸,例如半胱氨酸、賴氨酸、絲氨酸等受熱分解出乙醛、2—甲基噻唑、吡啶類、吡嗪類化合物,這些都為白酒帶來了豐富的微量成分,是白酒的香氣的最初來源。
2、釀酒原料在白酒發酵中產生的微量成分:
釀酒原料主要是谷物,谷物中主要成份是淀粉、蛋白質、脂肪等,淀粉在發酵過程中首先糖化成葡萄糖。一分子葡萄糖在無氧條件下經過12步反應生成二分子乙醇和二分子二氧化碳并放出熱量,但在此過程中,通過不同的酶作用,同時又會有大量的中間產物產生,即葡萄糖經過各種不同的途徑又可降解成酸、酯、醛、酮等種類眾多的微量成分。
谷物中的蛋白質也是酒中微量成分的重要來源,蛋白質在微生物和酶的作用下,降解成各種氨基酸,氨基酸不但可以與還原糖作用發生美拉德反應,在不同條件下,可以形成呋喃、吡嗪,吡咯等化合物,氨基酸還可以發生脫氨或脫羧反應形成許多的高級醇。例如:纈氨酸→異丁醇;亮氨酸→異戊醇;異亮氨酸→活性戊醇;酪氨酸→酪醇。這些高級醇又與有機酸作用生成各種酯、吡喃類化合物、吡咯類化合物、吡嗪類化合物、吡啶類化合物、丁香酸等,構成了白酒中微量成分的主要來源。
3、貯存過程中合成或分解的微量成分:
如果我們把釀酒原料在發酵過程中,通過微生物或酶的參與轉化生成的微量成分,稱為“發酵酯或發酵酸”等,那么,在升溫蒸餾酒糟以獲得白酒以后,新酒貯存或其它各種酒的貯存過程中,由于微生物或酶已無法存活,因而沒有微生物及酶的活動,剩下的僅是物理和化學變化,那么這時生成的微量成分我們可稱為“合成酯或合成酸”等,即在新酒貯存的過程中,仍在緩慢而持久地發生著各種物理或化學變化。
(1)白酒貯存過程中的物理反應:
a.乙醇分子、水分子、酸、酯、醛、酮等微量成分之間的因氫鍵作用而相互締合,形成大分子締合體。
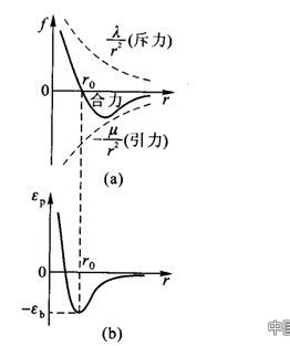
乙醇、水分子、酸、酯、醛、酮等都含有極性集團,它們都屬于極性分子,相互之間都有較強的吸引力。有過酒精降度經驗的人都可能有這樣的發現,當把量筒中的高度酒精和水混合時,量筒壁有明顯的發熱現象,這是因為乙醇分子和水分子之間所締合形成的氫鍵,比乙醇和乙醇分子之間締合成的氫鍵所需能量更小而更穩定,從而快速形成乙醇水化物,而把多余的能量釋放出來,轉換成熱量,這也是能量守恒定律的體現,是一個快速釋放能量的過程,但在隨后的貯存過程中,還有一個緩慢能量釋放的過程,即:新酒剛開始貯存時,新酒中的各種微量成分的分子位能很高,以很高的速度不停地做著無規則運動,故分子之間總是不斷地碰撞接觸,當分子間相距較遠時,分子間通常表現為引力,當分子相距極近時,由于電子云之間以及原子核之間的互相排斥,他們之間的相互作用力是斥力,并且這種斥力隨著分子間距減少而很快增大。當它們之間的距離小到某一程度,斥力變得很大,分子就要改變原來的方向而相互遠離,當那些相對平動能在分子連心線上的分量超過某一臨界值的分子,則會把平動能轉化為分子內部的能量,使高能的不穩定的舊健破裂而發生重新組合,從而形成新的更穩定,能量降低的新鍵,分子之間的斥力和引力在分子運動的過程中逐漸達到平衡,位能逐漸趨于零,使酒體由暴辣逐漸變得綿柔。如圖2,分子間的引力、斥力和合力:

圖2 (a)分子間的引力、斥力、合力及勢能; (b)分子間的位能曲線
b.水分子對乙醇分子之間空隙的填充作用而導致的體積變化。
乙醇的分子量是46,而水的分子量是18,乙醇分子是由乙基和羥基兩部分組成,可以看成是乙烷分子中的一個氫原子被羥基取代的產物,也可以看成是水分子中的一個氫原子被乙基取代的產物。水分子的運動直徑為0.265nm(25℃),體積為5.48×10-3 nm3,而乙醇分子的運動直徑為0.46nm(25℃),體積為20×10-3 nm3,因此乙醇分子體積是水分子的4倍左右,當乙醇與水混合時,就如同在一杯黃豆中倒入了芝麻,發生小分子水填進了大分子乙醇之間空隙的現象,使得50ml的水與50ml的乙醇混合時,總體積并不是100ml,而是只有97ml左右。不同比例的乙醇和水混合成100升乙醇溶液,所需的乙醇和水的升數及縮小量如下表2:
乙醇和水混合體積變化表
表2 單位:升
乙醇 | 0 | 10 | 20 | 30 | 40 | 50 | 60 | 70 | 80 | 90 | 100 |
水 | 100 | 90.74 | 81.72 | 72.67 | 63.35 | 53.65 | 43.68 | 33.36 | 22.83 | 11.91 | 0.00 |
體積縮小量 | 0.00 | 0.74 | 1.72 | 2.67 | 3.35 | 3.65 | 3.68 | 33.36 | 2.83 | 1.91 | 0.00 |
而當53.94升的乙醇和46.83升的水混合時達到體積縮小的最大值為3.77升,這時酒度在53度—55度。締合度越大,酒精分子的自由度越小,酒的柔和度則增強。
c.貯存過程中的揮發作用產生的變化。
剛蒸餾出來的白酒,含有較多的低沸點成分,如硫化氫、硫醇、硫迷、丙烯醛、游離氨等,使白酒帶有強烈的新酒臭和刺激感,但由于乙醇分子之間或與水分子之間的氫鍵作用,使它的沸點比和它分子量相近的烷烴類要高得多。例如:乙醇(分子量是46)的沸點為78.3℃,而丙烷(分子量為44)的沸點為-42℃,所以在自然老熟貯存過程中,低沸點物質分子不斷擴散和揮發,從而使白酒的新酒臭味和刺激性減弱,且隨著溫度的升高,揮發作用加快,一段時間后,使酒體變得成熟、柔和。一些微量成分的沸點如下表3:
表3 微量成分沸點表 單位:℃
名稱 | 甲醇 | 正丙醇 | 水 | 硫化氫 | 甲硫醇 | 乙硫醇 | 丙烷 | 乳酸 | 乙酸乙酯 | 己酸乙酯 |
沸點(℃) | 64.5 | 97.2 | 100 | -61 | 6 | 37 | -42 | 122 | 77.1 | 167 |
名稱 | 乙醇 | 異丁醇 | 乙醛 | 異戊醇 | 乙縮醛 | 糠醛 | 文章來源華夏酒報 乙酸 | 己酸 | 乳酸乙酯 | β-苯乙醇 |
沸點(℃) | 78 | 107.9 | 21 | 132 | 102 | 162 | 118.1 | 205 | 154 | 220 |
(2)白酒自然老熟過程中微量成分的化學變化
白酒中因含有數百種不同種類的微量成分,這些物質在白酒的自然老熟貯存過程中,一直不停地發生著一系列的化學變化,主要有氧化還原反應、酯化反應、縮合反應等。
a. 白酒老熟過程中的氧化還原反應:
白酒中的氧化反應主要是由于空氣中的氧不斷溶入酒中,酒中的各微量成分與這些溶解氧緩慢而持續發生著一系列的氧化反應:
醇氧化成醛的反應:![]()
醛氧化成酸的反應:
硫醇氧化為二硫化物的反應:
新酒中臭味物質經氧化生成了無臭或香味物質,如硫醇氧化成二硫化物,雖也是低沸點物質,但其化學性質穩定,且臭味減輕,因此,酒的老熟與白酒中大量復雜的氧化反應有很大關系,許多的人工老熟技術如:增氧、超聲波、X-射線或微波等處理方法,也都是為了促進氧化作用,在微量氧化條件下緩慢氧化,使酒中產生了許多新的微量物質,一定程度地增加了香味,但氧化也是有限度的,若采取激烈手段氧化過了頭,或者長時間貯存超過了限度,不但不能提高質量,相反會降低質量。
b.白酒老熟過程中的酯化反應:
白酒中的有機酸與乙醇等能發生酯化反應,酯化反應是一個平衡反應,與白酒中酯、醇和水的濃度有關,白酒中有機酸對酯化反應還有一定自催化功能,且隨著溫度升高而加速。
白酒中有多少類有機羧酸,它們與乙醇等反應就要生成多少類的酯,反應式如下 :
白酒酯化反應較氧化反應更加緩慢,因酯化反應使酯類物質種類和含量增多,使白酒香氣增加;對貯存過程中酒度的下降除了乙醇揮發的因素外,酯化反應也是一個不可忽視的因素。白酒中酸含量越高,酯化反應越易進行。
但白酒酯化反應的同時,也進行著酯的水解反應,對高度酒,酯化反應更強一些,而對低度酒,水解反應更勝一籌。通過對新疆伊力特公司高度酒貯存的不間斷分析,可以發現,在前10年,總酯有緩慢升高,但對四大酯的檢驗發現含量卻不同程度降低,這表明各種復雜酯的增多使總酯含量上升,而四大酯的水解速度卻更快一些,使含量有所降低。但這對白酒的品質和風味卻產生了很大的影響,使香氣更加協調、陳香突出,所以存放越久的酒香氣增濃,但低度酒長時間貯存因水解作用卻使口味變得淡薄,所以低度酒不益長時間貯存。
c.白酒老熟過程中的縮合反應:
醇與醛成某些縮醛,可減輕白酒的辛辣味,反應式如下:
同時,醛亦可發生自聚反應,生成聚多醛,如乙醛相互之間可生成三聚乙醛,而產生一種新的帶愉快香氣的成分:
新酒中乙醛含量較高,也是構成新酒辣味的主要成分之一,經過貯存老熟,可聚合一部分醛類,使辛辣味降低。
三、提高白酒中微量成分的種類和數量的措施:
白酒是一個復雜體系,白酒中所含有的微量成分種類和數量的多少可以用白酒的“復雜強度”來表示,簡稱“復雜度”。復雜度的強弱對酒的質量和風格產生著根本性的影響,復雜度的提高不僅僅使酒的質量得以大幅度提高,而且使酒的風格和典型性更加突出,因此,通過對白酒中微量成分的認識,根據白酒中微量成分的來源和途徑,在生產和貯存過程中,不斷提高白酒的復雜度,是提高白酒質量和風格的有效措施。
1、從原料入手:
產生酒香味的微量成分的來源十分復雜、種類繁多,但微量成分最初來源于釀酒所用的原料,因此,原料質量的好壞和種類的多少是白酒香氣濃郁與否的基礎。不同原料產出的白酒,在風味上差別很大,就是相同的糧食因品種、產地不同,其產品質量與出酒率也大不相同。一般釀酒原料多采用高粱、玉米、大米、糯米、小麥、碗豆等,實踐證明:“高粱產酒香、玉米產酒甜、大米產酒凈、糯米產酒綿、小麥產酒糙”。因此,釀酒所用糧食最好是多種糧食,并要求其新鮮,無霉變、無蟲蛀、無雜質,淀粉或糖分含量較高,含蛋白質適量,脂肪含量極少,單寧含量適當,并含有多種維生素及無機元素,果膠質含量應極少,不得含有過多的有害物質,如含氰化合物、蕃薯酮、龍葵苷、黃曲霉素等,這樣可盡可能多地賦予酒體更多的微量成分,并能吸取多種糧食的特點,利用糧食間營養互補、作用互補,也有利于發酵的進行。
2、從發酵入手:
由于發酵前期10天—30天主要是糖化發酵產酒階段,30天后主要是緩慢的酸醇酯化階段,所以發酵期要長。其實質是延長發酵糟醅與窖泥的接觸時間,使有機酸及醇類再經過較長時間緩慢的發酵和酯化,使酒的微量成分含量大幅增多。在對濃香型白酒長期的生產實踐中發現:“發酵所產生的己酸乙酯含量越高,則基酒質量及口感越好”,而一口窖池窖內糟醅的己酸乙酯生成量是窖邊糟高于窖中糟,下層糟又高于中層糟,中層糟又高于上層糟,所以發酵期越長的酒質量也越好,原酒的口感好、醇甜、己酸乙酯的主體香突出。但發酵期過長,也會造成損耗過大,而造成斤酒成本過高。
3、從蒸餾入手:
根據拉烏爾定律,低沸點的組分在汽相中的含量總比液相中高。當含有兩種成分的混合液沸騰時,某組分的蒸汽中的含量A與在溶液中的含量B之比即A/B=K為其揮發系數。微量成分的揮發系數與乙醇的揮發系數之比,若大于1時,表示其較乙醇易揮發;而小于1時,則比乙醇難揮發,但并不是低于乙醇的揮發系數就不會被蒸餾出來,在蒸餾的過程中,乙醇蒸汽在甑內上升的過程中有一個濃縮和提帶作用,從而將一些難揮發的大分子物質夾帶著進入酒中,所以要提高酒中微量成分的數量和濃度,要充分利用蒸餾時濃縮和夾帶作用,故蒸餾時的開汽原則應為:“緩氣蒸餾、大汽追尾”。即在裝甑的兩頭,汽應稍小點,裝甑中間階段,開汽量應較大,裝甑時要求以“松、輕、準、薄、勻、平”六字為原則,可“見濕蓋料”;在蒸餾過程中用汽要緩,接酒溫度以30℃為宜,過高不但不利于酒精在甑內最大限度地濃縮,而且會散失過多所需的微量香味成分,影響了出酒率和酒質;但溫度過低,無法揮發掉硫化氫、丙烷等低沸點辣味物質和雜質,并真正做到“量質摘酒”,嚴格各餾分的分級制度,將以酯定級改為以口感為主的驗收方式,保證的入庫酒質量。
4、從組合勾兌入手:
組合勾兌是提高酒中微量成分復雜度的一個重要途徑,就同一個工廠基酒而言,調味酒的復雜度要高于普通基酒的復雜度;已儲存成熟的老酒的復雜度要高于未成熟酒的復雜度。不同發酵期所產的酒之間的復雜度不相同,不同季節所產的酒的復雜度也不相同。當釀酒工藝相同、地域不同時,微生物所在的大環境不同,微生物群落的組成及相互關系也就不一樣,微量成分的復雜度差別就更大。因此,他們之間的相互組合勾兌,就大大增加了微量成分的種類和含量,提高復雜度。所以,將不同時期的酒相互組合,將不同發酵期的酒相互組合,特別是挑選那些符合本廠風味特點的不同地域的酒,與本廠的半成品酒之間進行組合勾兌,實現優勢互補,是提高本廠產品復雜度的一個重要有效的方法。
5、從儲存入手:
白酒要經過一定時間的貯存,才能保證各類成分間的相互作用而產生新的物質,并達到穩定的平衡狀態,才能保證其質量的提高。但過長時間的儲存會使揮發損耗增大,酒度降低,酒味變淡。而且,長時間的貯存將占用大量的容器和資金,增加白酒的生產成本。另外,白酒降度貯存,如果貯存后再加水調整酒度,則失去貯存后已達成的平衡、協調狀態,使酒味又重新呈現燥辣感的新酒特征。因此,應根據實際情況,對不同酒基采取不同的儲存方式:
(1) 對高檔調味酒,應選用室內陶壇、陶缸密封貯存,有條件的還可將陶壇、陶缸培土貯存,并能冬季供暖、夏季通風,以控制室內溫度在20℃,相對溫度在65%左右,陶壇、陶缸應壁厚堅固,無毒、無滲漏,缸口可用特制的附棉層瓷蓋密封,且容器不要裝得太滿,以免溫度波動造成酒液的外溢,再者,白酒貯存也需要一定的液空比,以保證酒的氣相平衡,有利于低沸點物質如甲醇、硫化物、丙烯醛等逸出,對減少新酒暴沖有利,但空隙也不宜太大,以防過多的氧使酒變質。陶壇、陶缸對白酒的老熟具有三大作用:氧化作用、吸附作用、催化作用,陶壇、陶缸是在750℃左右用粘土燒結而成,其中的有機物被燒掉,氣體被排除,因而形成了許多大小不一的孔隙,正是由于這各孔隙具有網狀結構和極大的表面積,使陶壇、陶缸具有氧化作用和吸附作用,將醛等氧化成酸,并吸附掉酒中的異雜味,加速了白酒的老熟。同時,陶壇、陶缸中本身存在著Ni2+,Ti4+,Cu2+,Fe2+等金屬離子,對酒中的酯化反應、縮合反應等反應有催化作用,可加速這些反應的進行,促進酒的老熟。為了能充分利用陶壇、陶缸促進老熟的作用,每個周期貯存結束后,不應立即再次裝酒,而應打開缸蓋,通過通風干燥一段時間以進行自然活化,恢復其氧化吸附能力,以提高貯酒效果。
(2)對普通調味酒、基酒和成品酒可采用庫內或露天大罐存放,以不銹鋼罐為好,并對露天罐搭建防曬棚或網,夏季噴淋降溫,冬季加覆保溫層。采用庫內或露天大罐儲酒的優點是:a.可減少貯酒損耗,據測算,陶壇貯酒的年損耗平均為:6.39%,而大罐貯酒的年損耗平均僅為1.15%;b.能極大地節約酒庫面積,以50噸不銹鋼大罐計,可比陶壇節省地面積約80%—90%;c.便于勾兌,保持產品質量穩定,大罐貯存不但降低勞動強度,而且便于測量、勾兌和調味,并可減少批次間差異,保質產品質量穩定。
總之,通過對白酒生產過程中各種對微量成分產生的各種因素進行有目的調控,來調節白酒中相關微量成分的生成,從而達到穩定和提高白酒風味質量的目的,是企業發展和提高產品質量的一個重要途徑。

